Hizmetler

SEHZADELER TOPLUM SAGLIGI MERKEZI


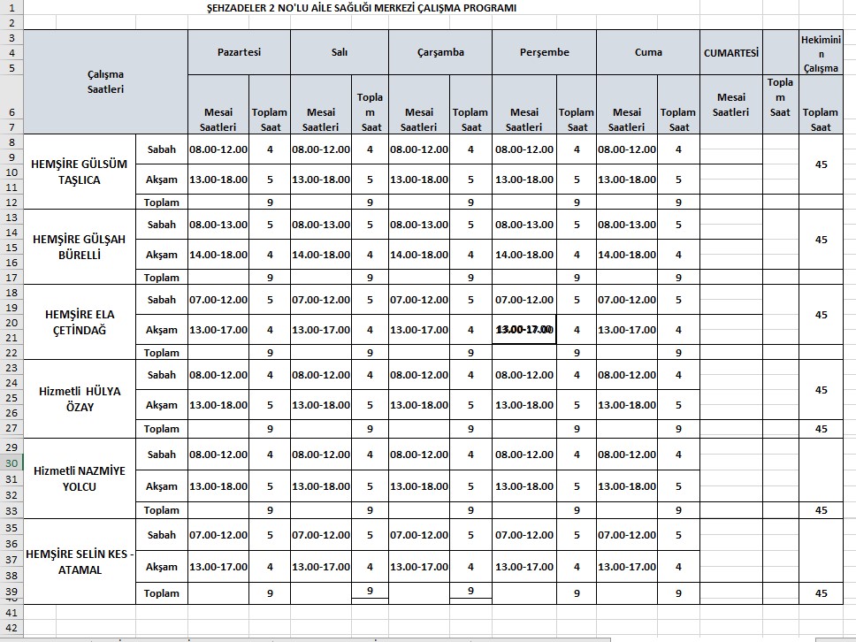
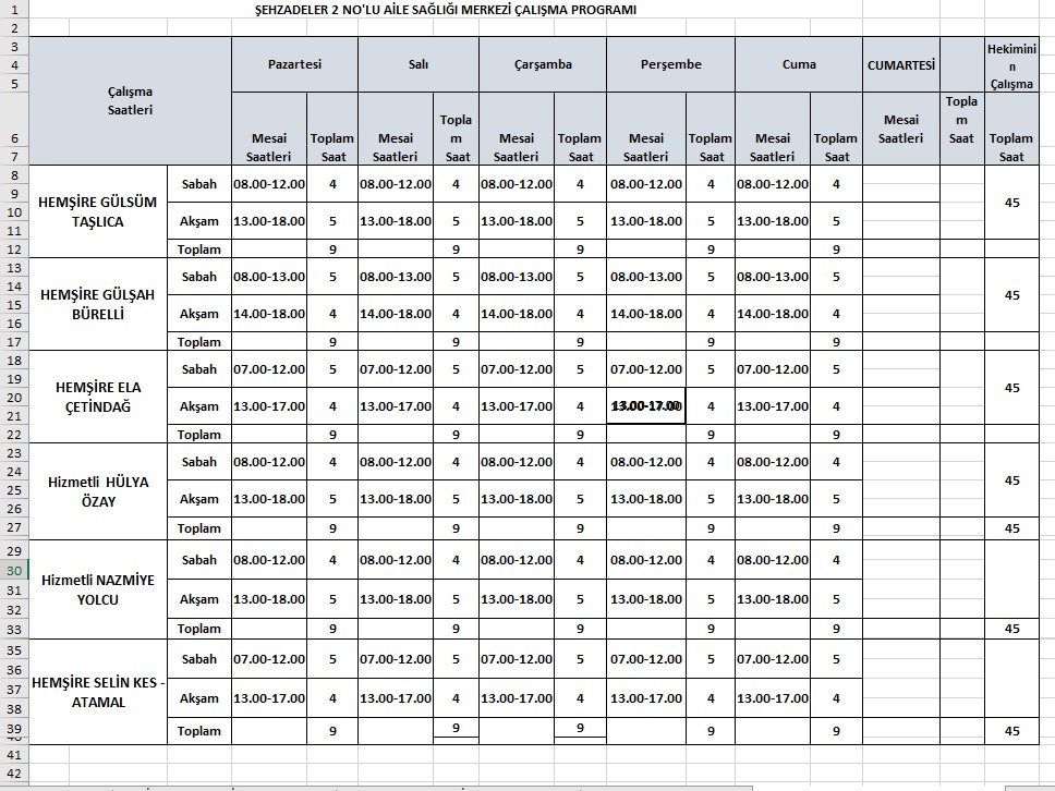
PERSONEL ÇALIŞMA SAATLERİ...

DR. A. Turan AMAS